| |
ANÁLISE
DO DESEMPENHO DE ALUNOS PERTENCENTES ÀS SÉRIES INICIAIS
Ivanete Bellucci Pires de Almeida
Christiane Bellorio G. Stevão
Introdução
O processo de adequação das políticas sociais à
melhoria das condições de vida, das populações
mais carentes, controle de preços sobre os produtos da cesta básica,
subsídios etc., contribuíram para o aumento da pobreza do
povo brasileiro, aprofundando a desigualdade, concentrando-se a riqueza
ainda mais nas mãos de poucos. O problema da dívida externa
pressionou os governos dos países periféricos a fazer ajustes
estruturais na economia de modo que se permitissem implantar as propostas
neoliberais .
Através destas políticas, estabelece-se a manutenção
de privilégios às elites. Reforça-se com isso, que
as metas neoliberais têm como objetivo o reordenamento da ordem
capitalista, através da privatização e da liberalização
da economia.
No contexto brasileiro, as políticas educacionais dos anos 90,
de modo geral propiciaram um número considerável de matriculados
nas séries do ensino fundamental, entretanto, não houve
uma substancial melhoria na qualidade dos serviços básicos
de educação prestados pelo Estado, como pode-se notar nas
avaliações do SAEB .
A organização de ensino busca, historicamente, alternativas
e implementação de ações que possam minimizar
os efeitos de reprovação e evasão escolar. Dessa
forma pode-se apontar a promoção automática como
uma das ações implementadas pelo sistema de ensino em alguns
Estados brasileiros. Essas experiências iniciaram, segundo Mainardes,
nos final dos anos 60, as primeiras iniciativas foram realizadas no Estado
de São Paulo (Organização em níveis, de 1968
a 1972), no Estado de Santa Catarina (Sistema de Avanços Progressivos,
de 1970 a 1984), no Estado do Rio de Janeiro (Bloco único, de 1979
a 1984) – CBA (São Paulo, em 1985; Minas Gerais, em 1985;
Paraná e Goiás, em 1988), implementando nessa proposta medidas
administrativas e pedagógicas (2001, p.35-36).
As mudanças de organização podem ser identificadas
de acordo com as implementações feitas nos Estados.
No Estado de São Paulo o regime foi organizado em dois ciclos,
a saber, o primeiro ciclo corresponde as quatro primeiras séries
e o segundo ciclo as quatro últimas séries do ensino fundamental.
A avaliação dos alunos é feita de maneira continua
e cumulativa, identificando em que momento os alunos precisam de recuperação
e reforço. A retenção do aluno se dá nas 2ª
e 4ª séries do primeiro ciclo.
No Rio de Janeiro, de 1979 a 1984, adota-se um Bloco Único na Rede
Estadual, implanta-se a passagem automática de 1ª série
para 2ª série, como estratégia de assegurar a permanência
da criança na escola e incentivar o aluno a completar sua alfabetização
(Mainardes,2001, p.44).
De acordo com Franco (2003), a adesão de redes escolares à
organização da educação em ciclos é
mais bem representada pelo percentual de escolas – e não
de alunos – que se organizam nas diversas formas. A seguir apresenta-se,
uma tabela de 1999-2002, que aponta um pequeno aumento percentual, das
escolas organizadas em ciclos.
| Tabela 1 –
ESCOLAS do ensino fundamental organizadas em séries ou em ciclos
(%) |
| Ano/Forma
de Organização |
Unicamente
Ciclos |
Unicamente
Séries |
Séries e
Ciclos |
| 1999 |
10,0 |
82,4 |
7,6 |
| 2002 |
10,9 |
80,6 |
8,5 |
A proficiência
média constatada no SAEB pelos alunos no período de 1995-2001.
As médias de língua portuguesa neste período caíram.
O gráfico abaixo mostra esta queda.

Representação
gráfica (2) por Rede de Ensino, é possível observar
as diferenças de desempenho, entre a Rede Pública e Rede
Particular.

A representação
(3) é possível observar o desempenho por Rede de Ensino
no Brasil.

De acordo
com a Sinopse, 92% dos reprovados estavam no período diurno e 8%,
no noturno. Dos 2,8 milhões de alunos que abandonaram, mais da
metade — cerca de 1,5 milhão — era da Região
Nordeste.
| Rendimento
e movimento escolar no ensino fundamental regular* (Brasil) |
| |
Aprovados |
Reprovados |
Abandono |
Concluintes |
| 2000 |
27.607.362 |
3.824.495 |
3.403.111 |
2.648.638 |
| 2001 |
27.909.995 |
3.876.167 |
2.896.816 |
2.707.683 |
| 2002 |
27.777.189 |
4.063.800 |
2.774.935 |
2.778.033 |
| (*) Censos
Escolares 2001, 2002 e 2003. |
| Fonte: Inep/MEC. |
O sistema
de ensino que adotou a organização escolar em ciclos tem
sido submetido as mais diversas restrições e até
mesmo a “culpas”, porém, as constatações
de queda de desempenho já se anunciavam antes de sua implantação
dentro sistema de ensino nas diferentes regiões brasileiras. Há
neste ambiente a contradição estabelecida pelo espaço
e tempo que de acordo com Freitas (2004) há uma permanente disputa
em tais espaços que reflete as diferentes concepções
de educação, as diferentes finalidades educativas atribuídas.
A progressão continuada e os ciclos estão inseridos neste
ambiente.
Através das reações às implantações
das mudanças pode-se observar um certo descontentamento por parte
dos professores. Em alguns casos, estas políticas não tiveram
o apoio da maioria deles, causando desconforto para o efetivo trabalho
dos profissionais da educação, que ao invés de solucionar
os problemas de evasão e reprovação, em alguns espaços
escolares, pode ter causado efeitos negativos.
Segundo Oliveira (2001) a reforma de Minas Gerais, proposta em 1985, estabelece
a implantação do Ciclo Básico de Alfabetização
(CBA), dando maior ênfase ao projeto a partir de 1991. A adoção
dos ciclos e da progressão continuada marcou alterações
consideráveis na organização escolar daquele município
e conseqüentemente na forma de avaliação, pode-se identificar
mudanças que limitaram e constrangeram o trabalho dos professores,
com a transformação do ensino fundamental em dois ciclos,
retendo os alunos somente no final de cada quatro anos. Esta forma de
implantação foi entendida como “imposta” pela
SEE-MG, tendo como meta, reduzir as taxas de repetência e criar
os programas de aceleração de aprendizagem.
A Lei de Diretrizes e Bases da Educação Nacional (LDB, lei
9394/96), em seu artigo 23, assegura a organização da educação
básica em ciclos “com base na idade, na competência
e em outros critérios, ou por forma diversa de organização,
sempre que o interesse do processo de aprendizagem assim o recomendar”
(SOUZA, 1998, p. 88).
A polêmica sobre os ciclos envolve professores, pais e alunos. As
acusações sobre desempenho inadequado são inúmeras
e chegam freqüentemente à imprensa. Afinal, os ciclos são
piores que as escolas regulares? O que é melhor: eliminar o aluno
que não sabe ou deixá-lo no interior da escola com alguma
chance de aprender? É fato que o ciclo ensina menos que a escola
regular, seriada? Ou ensina tão pouco quanto?
Em especial nos ciclos de progressão continuada o Estado passou
a exercer um papel controlador, prevalecendo então a lógica
do controle e da racionalidade orçamentária, que provocou
cortes financeiros nos mais diversos setores.
O mercado apresenta-se como controlador e demarcador das políticas
socioeconômicas e culturais e assume uma nova postura passando de
um Estado Interventor para um Estado Avaliador.
Na década de oitenta, as reformas educacionais têm como princípio
básico o gerenciamento eficiente, a privatização,
a descentralização, a produtividade, o “ranqueamento”,
a satisfação do consumidor (cliente - pais e alunos) com
o serviço prestado, caracteriza-se a escola como um negócio
e é impregnada pela atmosfera de competição presente
nas empresas de modo geral. Essas proposições causam efeitos
negativos e positivos nos ambientes escolares, segundo Carnoy “Os
pais de nível socioeconômico maior tornam-se mais conscientes
de como escolher as escolas de suas crianças, como são estas
escolas e se elas têm condições de encaminhar seus
filhos para o nível superior”. Este pode ser um efeito positivo
se todos tivessem acesso a esta educação, porém segundo
o mesmo autor a escolarização torna-se mais estratificada
nos níveis menores, a escala global consegue conduzir a uma competição
interna nos países, no acesso às classes para os recursos
educacionais. A avaliação apresenta-se como instrumento
de controle, estruturante de políticas públicas e em especial
das políticas educacionais, podendo ainda considerá-la como
uma forma de prestação de contas (accountability) que, praticada
por agências avaliadoras, tem como função a classificação
e a regulação.
De acordo com Afonso Janela, que apresenta a experiência de Portugal,
que se assemelha à do Brasil, em relação à
avaliação do ensino não superior, trata-se de uma
avaliação externa feita pelo Estado, predomina a mensuração
e quantificação, sem uma análise mais qualitativa
dos processos e do contexto. Esses efeitos podem ser considerados simbólicos,
mas imediatamente sentidos pela sociedade e divulgados pela mídia,
incentivados pelos organismos internacionais, atrelados à diminuição
de gastos do Estado, deixa cada vez mais distante a função
primeira do Estado de promover o bem-estar social e as políticas
públicas de educação voltadas para a melhoria da
qualidade do ensino nas escolas públicas.
Segundo Freitas (2004) os esforços em relação às
implantações do ensino em ciclos devem ampliar-se na Rede
de Ensino, de modo geral. ... Entretanto, existem alguns pontos deveriam
ser destacados para debate de forma não só de esclarecer
melhor esta opção, como também criar as condições
necessárias para sua própria ampliação.
Lembrando que os ciclos não devem resolver os problemas de “exclusão”
e “subordinação” existentes nas escolas, porém
é possível e deve-se criar condições para
que estes e outros assuntos possam ser debatidos por aqueles que vislumbram
uma educação de qualidade.
Cabe ressaltar que em tempos de flexibilização, qualidade
(requerida via mercado) e respeito às diferenças, não
se cometa equívocos, ou seja, ... não se converta em algo
descompromissado com o ensino ou reforce a criação de trilhas
diferenciadas de progressão ancoradas em avaliação
informal ( o famoso ensino pobre para pobre)(Freitas, 2004 p.26).
Os processos avaliativos e a própria ênfase das políticas
públicas estabelecidas dentro das escolas de ensino por ciclos
põem em debate as práticas avaliativas.
Os diretores, os professores, os alunos e os próprios pais foram
envolvidos neste debate. Isso explica a intenção de traçar
o perfil dos diretores, com a perspectiva de diagnosticar o processo e
o envolvimento real de cada dirigente em sua respectiva comunidade escolar.
Este projeto pretende acercar-se a este problema valendo-se de tecnologia
apropriada de medição e análise. Para tal, os instrumentos
de medição serão desenvolvidos e organizados com
base na Teoria da Resposta ao Item (TRI).
Objetivos
do estudo
Trata-se
de um estudo longitudinal de painel baseado na Teoria da Resposta ao Item
(TRI ), no qual se estabelecerá parâmetros de avaliação
de desempenho, motivação e auto-estima, dos mesmos estudantes,
pertencentes às séries iniciais. O trabalho se refere à
pesquisa iniciada em março de 2005 e que se estenderá até
2008, contemplando as três redes de ensino.
O estudo
está destinado a:
(1) Acompanhar turmas das 1ª e 2ª séries desde o primeiro
semestre de 2005 até o ano de 2007, realizando três medições
de desempenho em português e matemática, para que seja possível
fazer um quadro evolutivo do desempenho dos alunos em escolas cicladas
e não cicladas de Campinas-SP.
Há neste ambiente a contradição estabelecida pelo
espaço e tempo que de acordo com Freitas (2004) há uma permanente
disputa em tais espaços que reflete as diferentes concepções
de educação, as diferentes finalidades educativas atribuídas.
A progressão continuada e os ciclos estão inseridos neste
ambiente.
(2) Estabelecer relação entre as curvas de desempenho individuais
ou grupais com dados procedentes de testes não cognitivos (motivação
e auto-estima).
É importante ressaltar que se pretende realizar com esta investigação
um acompanhamento do aluno focalizando habilidades básicas tipicamente
demandas pela escola em português e matemática.
A TRI baseia-se em modelos matemáticos que representam a probabilidade
de um indivíduo responder corretamente a um item como função
dos parâmetros do item da(s) habilidade(s) do respondente. Os vários
modelos propostos na literatura dependem , fundamentalmente, do tipo do
item. Um dos mais utilizados, é o modelo logístico unidimensional
de 3 parâmetros para itens de múltipla escolha ou dicotomizados
(do tipo certo/errado).
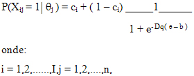
O modelo logístico unidimensional de 3 parâmetros para um
determinado item é dados por

Xij é
uma variável dicotômica que assume os valores 1 (quando o
individuo j responde corretamente ao item i), ou 0 ( quando o individuo
j não responde corretamente ao item i),
?j representa a habilidade ou proficiência (traço latente)
do individuo j, P(Xij = 1| ?j ) é a probabilidade de um individuo
j com habilidade igual a ? responder corretamente ao item i,
D é um fator de escala constante conhecido, igual a 1,7 quando
se deseja que a função logística forneça resultados
semelhantes ao da função ogiva normal,
bi , é o parâmetro de dificuldade (ou de posição)
do item i, medido na mesma escala de habilidade,
ai é o parâmetro de discriminação (ou de inclinação)
do item i, com valor proporcional á inclinação da
curva característica do item – CCI no ponto bi , e
ci é o parâmetro de acero ao acaso do item i (chute).
Note que P(X ij= 1| ?) pode ser vista também como a proporção
de resposta correta ao item dentre todos os indivíduos da população
com a mesma habilidade ? .
A figura abaixo exemplifica a relação existente entre P(X
ij= 1| ?) e os parâmetros do modelo.
Curva Característica do Item – CCI
O Modelo
proposto baseia-se no fato de que indivíduos com maior habilidade
possuem maior probabilidade de acertar ao item e que esta relação
não é linear. De fato , pode-se perceber a partir do gráfico
acima que a CCI tem forma de “S” com inclinações
e deslocamento na escala de habilidade definidos pelos parâmetros
do item.
Os gráficos abaixo apresentam-se como curvas características
e também curvas de informação (traçado pontilhado)
de quatro itens com diferentes combinações de valores dos
parâmetros a e b.
Curvas características
e de informação de vários itens

Comparando-se
os itens 1 e 3 e também os itens 2 e 4 pode-se perceber que o item
com maior valor do parâmetro a tem a curva característica
com inclinação mais acentuada . A conseqüência
disto é que a diferença entre as probabilidades de resposta
correta de dois indivíduos com habilidades 2,00 e 1,00, por exemplo,
é maior no item 4 (0,37 = 0,88 – 0,51) do que no item 2 (0,25=
0,80 – 0,55). Em outras palavras, o item 4 é mais apropriado
para discriminar estes dois indivíduos do que o item 2. Por esse
motivo é que o parâmetro a é denominado de parâmetro
de discriminação (ou de inclinação) do item.
Por outro lado, comparando-se os itens 1 e 2 e também os itens
3 e 4, pode-se perceber que o item com maior valor do parâmetro
b exige uma habilidade maior para uma mesma probabilidade de resposta
correta . Por exemplo, a habilidade requerida para uma probabilidade de
resposta correta de 0,60 é igual a – 0,20 no item 1 e igual
a 1,20 no item 2. Isto é, o item 2 é mais fácil do
que o item 1. Assim, o parâmetro b é denominado de parâmetro
de dificuldade (ou de posição)do item e seu valor está
na mesma escala da habilidade. Na realidade , o parâmetro b representa
a habilidade necessária para uma probabilidade de acerto igual
a (1 + c)/ 2. O parâmetro c representa a probabilidade de um aluno
com baixa habilidade responder corretamente ao item (muitas vezes referido
como a probabilidade de um acerto ao acaso). Note que cada item está
associado um intervalo na escala de habilidade no qual o item tem maior
poder de discriminação. Este intervalo é definido
em torno do valor do parâmetro b e está mostrado nos gráficos
pelas curvas de informação (traçados pontilhados).
Deste modo, a discriminação entre bons alunos é feita
a partir de itens considerados difíceis e não de itens considerados
fáceis. Apesar de receberem a mesma denominação da
Teoria Clássica, o parâmetro de dificuldade do item não
é medido por uma proporção (valor entre 0 e 1) e
o parâmetro de discriminação não é uma
correlação (valor entre -1 e 1). Na TRI, estes dois parâmetros
podem, teoricamente, assumir qualquer valor real entre -8 e +8. É
claro que não se espera um valor negativo para o parâmetro
a.
Na prática , as habilidades e os parâmetros dos itens são
estimados a partir das respostas de um grupo de respondentes submetidos
a esses itens mas, uma vez estabelecida a escala de medida da habilidade,
os valores dos parâmetros dos itens não mudam, isto é,
seus valores são invariantes a diferentes grupos de respondentes,
desde que os indivíduos destes grupos tenham suas habilidades medidas
na mesma escala.
Metodologia
Este estudo deverá ser realizado de 2005– 2008. O projeto
de pesquisa “Estudo Longitudinal da Geração Escolar
2005” estará trabalhando com uma amostra de cinco grandes
centros urbanos brasileiros, a saber: Belo Horizonte, Campinas, Salvador,
Campo Grande e Rio de Janeiro, este estudo pretende identificar características
escolares e práticas educativas que maximizam o aprendizado e minimizam
a desigualdade na distribuição social do aprendizado.
A pré-testagem e consolidação dos instrumentos foram
realizados em agosto de 2004 no Rio de Janeiro.
No 1º semestre (março) de 2005 aplicação do
diagnósticos, ao mesmo tempo, nas 5 capitais contemplando nesta
fase os estudantes das séries iniciais e os diretores, denominado
1ª onda. A pesquisa deverá ainda neste ano estabelecer contato
por meio de questionários com os pais, e professores e no final
de outubro será realizada a 2ª onda de aplicação
com os mesmos estudantes. Após a segunda onda de observação,
será feito um estudo qualitativo, realizado em algumas escolas,
para as quais haja evidência de alto valor agregado, objetivando
levantar hipóteses adicionais sobre fatores promotores da qualidade
escolar. As hipóteses levantadas no estudo qualitativo exploratório
subsidiarão o refinamento dos questionários de coleta de
dados para as ondas subseqüentes.
A TRI –
teoria da resposta ao item - é um conjunto de modelos matemáticos
em que a probabilidade de resposta a um item é modelada em função:
da proficiência (habilidade) do aluno (variável latente,
não observável) e de parâmetros que expressam certas
propriedades dos itens.
De acordo com Klein (2003), com o uso desta tecnologia considera-se que
é possível estabelecer escalas de proficiências comuns
a todas as séries e na mesma escala obtida em anos anteriores,
o que nos permite fazer comparações, podendo ainda acompanhar
a evolução do aluno entre séries como ao longo dos
anos.
A 3ª onda, primeiro semestre de 2006, conseqüentemente, preparação
do relatório de consolidação de campo da 3ª
onda, preparação de dados da 3ª onda e a finalização
dos trabalhos prevista para o segundo semestre de 2006.
O formato deste estudo proposto é longitudinal de painel o que
permite uma maior aplicação de instrumentos de medição,
mais distribuídos no tempo e mais variados, além de permitir
o seguimento do aluno ao longo de sua estada no sistema educacional.
A população
de referência do estudo e a amostra levarão em conta os objetivos
da pesquisa, os aspectos teóricos relativos à amostragem
e as necessidades da abordagem analítica a ser utilizada, bem como
os aspectos práticos relativos à operacionalização
da pesquisa de campo. Desse modo será considerado os alunos das
escolas públicas de Campinas (cerca de 40 escolas, municipal e
estadual);
Referências
Bibliográficas
Andrade,
D.F.; Klein, R. Métodos estatísticos para avaliação
educaional: Teoria da Resposta ao Item. Boletim da ABE, ano 15, n.43,
p. 21-28, 1999.
Andrade, D.F., TAVARES, H.R. e VALLE, R.C. (2000). Teoria da Resposta
ao Item: conceitos e aplicações. São Paulo, 14o.
SINAPE, ABE-Associação Brasileira de Estatística.
Baker, F. B. (1992). Item Response Theory: Parameter Estimation Techniques.
Marcel Dekker.
Hambleton, R. K., SWAMINATHAN, H. and ROGERS, H. J. (1991). Fundamentals
of Item Response Theory. Newbury Park: Sage Publications, Inc.
Tavares, H. R. e Andrade, D. F. (2004) Item Response Theory for Longitudinal
Data: Item and Population Ability Parameters Estimation. Sociedad de Estadística
e Investigación Operativa, Vol. 13, no prelo.
Andrade, D. F. (2001) Comparando desempenhos de grupos de alunos por intermédio
da teoria da resposta ao item. Estudos em Avaliação Educacional,
no. 23, p. 31-61.
Franco, C (org.) (2001) Avaliação, ciclos e promoção
na educação. Porto Alegre: Artmed.
Franco, C (2004) Ciclos e letramento na fase inicial do ensino fundamental.
Revista Brasileira de Educação, Nº25.Departamento de
Educação. PUC Rio
Freitas, L.C.(1995) Crítica da organização do trabalho
pedagógico e da didática – Campinas, SP : Papirus.
Freitas, L.C. (2003) Ciclos, seriação e avaliação,
São Paulo: Moderna.
Freitas, L. C. (2004) Ciclos ou Séries? O que muda quando se altera
a forma de organizar os tempos-espaços da escola? 27ª. Anped,
Caxambu(MG), 2004. |
|